Fighting Alzheimer' s with"Brain Waves": Chinese Team Reveals How 40 Hz Stimulation Rewires Brain Connectivity
GemPagesIn recent years, a non-invasive therapy using specific "brain wave" frequencies to treat Alzheimer' s disease (AD) has been accelerating from the laboratory toward clinical application. Chinese scientists have made key progress in this frontier field. Recently, a team led by President Tang Yi of Xuanwu Hospital, Capital Medical University, published research in Radiology that for the first time used brain imaging to confirm that applying 40 Hz frequency transcranial alternating current stimulation (tACS) to patients with mild AD not only improves cognition but also directly repairs the deteriorated key connectivity networks in their brains.
In the early stages of Alzheimer' s disease, large-scale "network disconnection" occurs in the brain, with notably weakened connections between the default mode network—responsible for memory and cognition—and the hippocampus. The randomized, double-blind, controlled study from Xuanwu Hospital [1] aimed to explore whether external electrical stimulation could repair this connectivity.

Figure 1: Study flowchart illustrating the process from recruitment and randomization to assessments at different time points.
The study divided 46 patients with mild AD into two groups: one received real 40 Hz tACS treatment for three weeks, while the other received a sham stimulation with no therapeutic effect. The findings revealed:
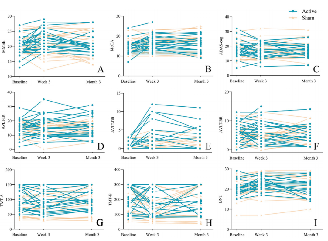
Enhanced Cognitive Ability: After three weeks of treatment, the real stimulation group showed significantly greater improvement on core cognitive tests such as the MMSE and MoCA compared to the sham group.
Rewired Brain Network Connectivity: Functional magnetic resonance imaging (fMRI) data provided more direct evidence. Following treatment, functional connectivity between the hippocampus (the memory hub) and multiple cognitive cortical regions was significantly enhanced in the real stimulation group. Integration within the default mode network also improved. This marks the first imaging-based demonstration that 40 Hz electrical stimulation acts like “precision tuning,” repairing critical information pathways within the brains of AD patients.

Figure 2: Spaghetti plots showing changes in cognitive scores over time. Panels A and B indicate that at week 3 of intervention, the tACS treatment group showed significant improvement in MMSE and MoCA scores from baseline.
This research builds on a solid scientific foundation. Since the pioneering discovery by the MIT team in 2016, global studies have confirmed that inducing 40 Hz brainwave oscillations via light or sound can help clear AD pathological proteins and promote neurogenesis[2]. The Xuanwu Hospital team had previously confirmed the safety and cognitive benefits of 40 Hz tACS through a clinical trial [3]. The current study further addresses the question of "why it works," providing key evidence of the underlying neural mechanisms.
This breakthrough opens a new direction for Alzheimer' s disease treatment. As a safe, portable, non-pharmacological approach, tACS offers a new option for patients. More importantly, the specific patterns of brain connectivity changes revealed by the study hold future promise as "roadmaps" for optimizing treatment protocols and achieving individualized, precise neuromodulation. While larger-scale, long-term validation is still needed, using "brain waves" to combat memory decline presents an encouraging and realistic prospect.
[1] Wang, T., Jia, J., et al. Modulation of Cortical and Hippocampal Functional MRI Connectivity Following Transcranial Alternating Current Stimulation in Mild Alzheimer Disease. Radiology. 2025 Mar;315(3):e241463.
https://doi.org/10.1148/radiol.241463
[2] Iaccarino, H. F., Singer, A. C., et al. Gamma frequency entrainment attenuates amyloid load and modifies microglia. Nature. 2016 Dec;540(7632):230-235.
https://doi.org/10.1038/nature20587
[3] Xing, Y., Zhang, J., et al. TRanscranial AlterNating current Stimulation FOR patients with Mild Alzheimer‘s Disease (TRANSFORM-AD study): protocol for a randomized, controlled trial. Alzheimer‘s Research & Therapy. 2023 Nov 2;15(1):189.
https://doi.org/10.1186/s13195-023-01347-x